A Method for Evaluating Efficiency by Dr. David Paquette with Drs. Scott Frey and James Paschal

Categories: Orthodontics;
Orthotown Magazine
by Dr. David Paquette with Drs. Scott Frey and James Paschal

Human beings are creatures of habit; we tend to park in the same spot each day, sit in the same seats in meetings or classrooms, have our typical morning and evening routines, etc. For orthodontists operating a thriving practice, it is critical to have systems in place to establish standard operating procedures to assure quality finishes within a predictable time frame. These protocols become habitual with repetition; eventually, a change in protocol or procedure requires some form of painful stimulus—either economically or professionally—to initiate the need for such change. Along with the disruption caused by changing a major system in our practices, we second-guess ourselves, wondering if we made the correct decision.

This project was initiated by the lead author after he heard what appeared to be impressive claims of increased efficiency by Dr. Luis Carrière, who repeatedly presented case histories in which patients were in active fixed appliances for approximately 10 months. Having a healthy degree of skepticism, the lead author returned to his own office and harvested data on 12 consecutive debonds using the Carriere SLX bracket system and found similar results. Were these patients outliers? Was this an expected outcome on a routine basis? The fundamental questions then arose: Why is there such a difference? To what should these patients be compared? And how exactly is a legitimate comparison arrived at?

Developing meaningful metrics
Having searched the literature for a reasonable standard method for determining profitability, what was instead found was a mountain of references to presentations and lectures. Yet almost no published articles referenced a way to actually measure efficiency and effectiveness in our own offices. The available references were more about the cost of treatment for the patient or a summary comparison of bracket designs.

The authors then set out to develop what we believe is a simple set of meaningful metrics that can be easily calculated with data provided by most practice management systems, to determine if we have indeed improved efficiency after a given change in some aspect of our clinical practice. To illustrate these metrics, we have gathered data from three individual practices that had recently switched from another passive self-ligating bracket system (which we’ll refer to as “OSL”), where treatment included following the recommended archwire sequences and appointment intervals, to Henry Schein Orthodontics’ Carriere SLX system (“SLX”), along with a revised archwire sequence and appointment interval recommendation. These metrics can easily be used for any similar comparison, providing valuable information for practice owners upon which to make decisions about product or procedure changes.

In two of the three practices, the following metrics are routinely collected and reviewed each month on all patients who have completed treatment that given month. In the other practice, the data was collected on request.

  • Number of repositioned brackets.
  • Number of repaired brackets.
  • Total number of rebonded brackets.
  • Number of detailing appointments.
  • Total number of appointments.
  • Number of minutes of chair time.

To avoid as much bias as possible, a staff member in each office was requested to independently gather records on the most recent 12 sequential debonds using each system, OSL and SLX. After collecting data on the dozen debonds of each system, we discovered that the data from the first two practices was very similar. To validate our findings, we recruited the third practice to provide the same data set, again on 12 consecutive debonds of each system.

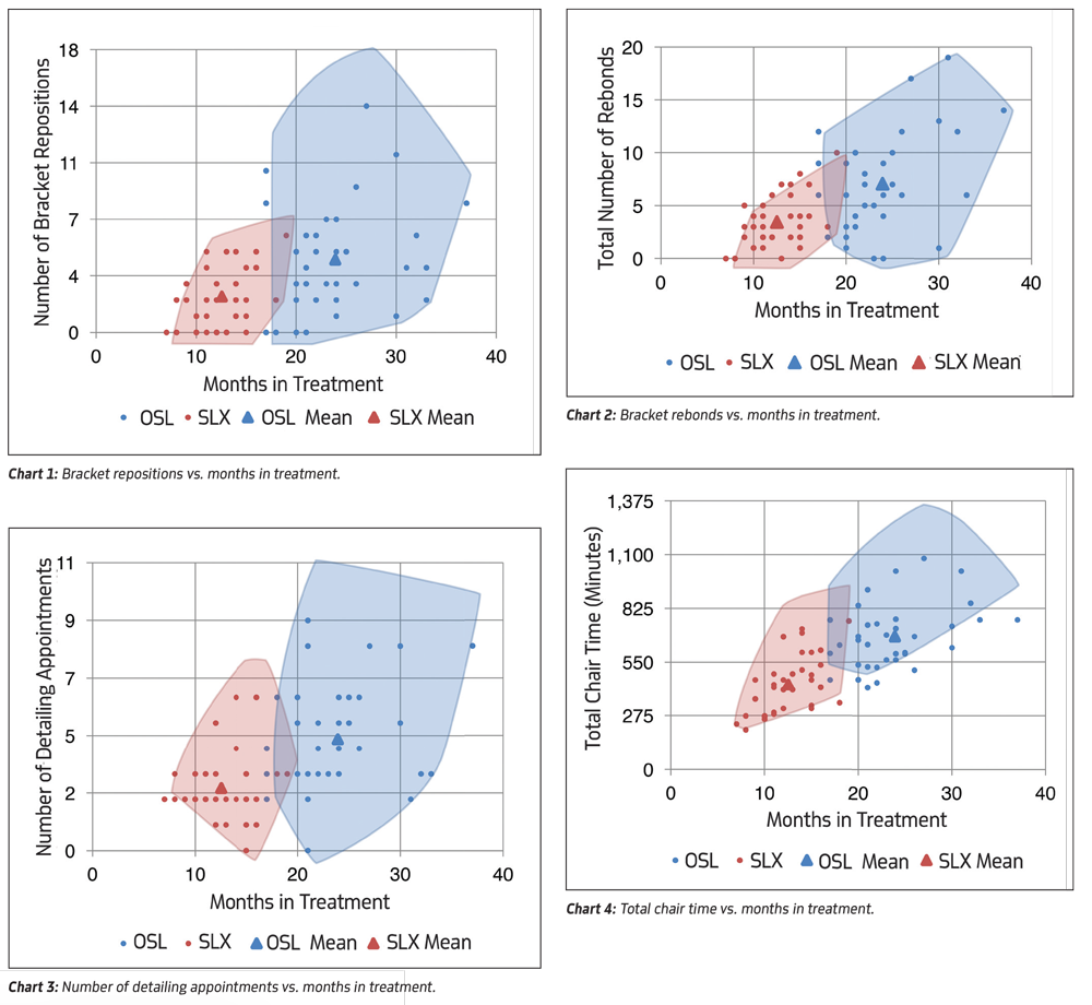
The combined practice data resulted in 36 patients in each cohort, with a total sample of 72 patients. The summary averaged results are presented in Table 1.

Patient data
  OSL SLX
Number of repositioned brackets 4.5 2.2
Number of repaired brackets 2.9 1.4
Total number of rebonded brackets 7.1 3.4
Number of detailing appointments 4.4 2.4
Total number of appointments 19.9 12.8
Number of minutes of chair time 680 434
Number of months in treatment 23.9 12.5

Interpreting the data
How can we interpret this data, and why is there such a dramatic difference in every metric, with similar findings in all three practices?

It is our belief that although both brackets utilize passive self-ligation, there are fundamental design differences between the two. The OSL bracket has a consistent width among all brackets, independent of tooth anatomy, whereas the SLX bracket is designed so that each bracket width is dependent upon the width of the tooth on which it’s intended to be placed. That results in smaller interbracket distances with the SLX system, so rotation correction and leveling occur earlier in treatment with smaller dimension wires.

The depth of the archwire slot also is different, with the SLX bracket being 0.028 and the OSL being as much as 0.033 (HSO internal engineering study), with the OSL also having greater variability of bracket slot dimension from one bracket to another. The difference in slot depth also results in the SLX system providing earlier rotation correction on a more consistent basis. The number of repositioned brackets is less with the SLX system because of the numerous visual cues that make initial placement and bracket positioning more straightforward, as well as an enhanced pad design that more closely adapts to the tooth anatomy.

Repaired brackets
The number of repaired brackets is less with the SLX system, and we propose three possible reasons.

  1. The pad more closely adapts to the tooth anatomy, so less time is spent adjusting the bracket position before polymerization. That means there is less opportunity for the adhesive to begin curing, only to have the bond weakened by additional tweaking of the bracket position.
  2. The SLX brackets have a lower facial profile, so there is less opportunity for inadvertent occlusal forces to shear off the bracket during chewing.
  3. The bonding base on the SLX incorporates inverted pegs rather than the traditional wire mesh, which results in mechanical retention with more consistent adhesive distribution.

Detailing appointments
The number of detailing appointments were fewer in all three practices with the SLX, compared with the OSL results. We believe that is a combination of the abovementioned properties: improved ability to position the bracket on the tooth; shorter interbracket distances; and the closer and more consistent manufacturing tolerances with the SLX. The combination of these three improvements result in both fewer and smaller archwire bends, and in all three practices the brackets were placed without the aid of computer-guided placement.

The number of appointments was reduced with SLX, compared with OSL, because there were fewer repairs and fewer detailing adjustments. The number of minutes of chair time was reduced for the same reasons, along with the fact that the fewer and more subtle bends in the detailed wires with the SLX system were much easier for chairside assistants to place in the mouth, therefore also taking less time.

Orthotown Magazine

Duration of treatment
The difference in the total duration of treatment was probably the most clinically significant finding. In all three practices, we discovered that patients treated with the SLX system completed treatment in roughly half the time of the patients treated with the OSL system, which had treatment times that were consistent with those found by Fleming and O’Brien.

We believe that the reason for the difference is a result of both the sum of all the improvements noted above, along with the fact that all three practices were able to shorten treatment intervals using the SLX system. (See Charts 1–4, p. 38.)

Treatment intervals were shortened because the tooth positions were corrected more quickly, allowing transition to the next archwire without producing excessive force on the teeth. The scattergrams show the reduced variability with the SLX bracket, compared with the greater variability of treatment times with the OSL brackets. We believe that the vast majority of orthodontic patients who begin fixed appliance therapy with SLX system can complete their treatment in 12 months or less. (Fig. 1 illustrates how that can be accomplished without the aid of auxiliary accelerating techniques.)

Dentaltown Magazine

It should be noted that we also believe that we can reduce treatment time an additional two months through the use of computer-aided treatment by utilizing an intraoral scanner for precision bracket placement initially, and again during finishing by mirroring archwire adjustments made at the final detailing visit and making any other minor positional corrections on the virtual model before manufacturing the retainer. This can be accomplished either in the office, with 3-D printing technology, or through the aid of commercial lab with the same capabilities. (This treatment sequence is shown in Fig. 2.)

In step with faster times
Some have falsely claimed that more efficient treatment is not a worthy goal and have argued in favor of maintaining the status quo, either because they view orthodontics as a commodity or because they find themselves unable to square the circle of faster treatment and reasonable financing.

This outdated thinking has left traditional orthodontics out of step with the public perception of orthodontic treatment, which now expects treatment to be completed in less than 12 months and with fewer appointments. No studies are required to remind every orthodontist worldwide that the most frequently asked question by patients is, “How much longer do I have?” As a result of our failure to adapt, this void has been filled with the likes of Six Month Smiles, Fastbraces and direct-to-consumer treatment models that promote faster treatment and fewer visits (or no visits at all). The treatment times shown here, with modern PSL appliances, demonstrate that these expectations are certainly achievable without cutting corners.

We have also found little need to stretch treatment times to facilitate payment plans, as some continue to recommend. In our opinion, which is supported by numerous practice management consultants, finding an affordable payment plan is far more important. Whether those plans are designed in-house in the manner that McGill recommends, or through the use of an outside finance company such as OrthoFi, eliminating excessively high monthly payments is the desired goal. It becomes obvious that the meaningful contemporary solution is to completely disconnect the treatment time from the payment plan.

Given the current economic pressures causing overhead in orthodontic practices to continually creep higher and higher, it is incumbent on all of us to have a thorough understanding of how our appliance choices affect both the quality of outcome and the cost of achieving it.

Each of our practices has found that by examining metrics on our completed patients we can make corrections to our treatment approaches both through the appliances we choose to incorporate as well as our scheduling protocols that keep us both socially relevant and economically viable in an ever-changing marketplace.

 

References

  1. Stephen Richmond, The Need for Cost-effectiveness, JO September 2000, 267-269
  2. Padhraig S. Fleming , Kevin O’Brien, Do Self-ligating brackets increase the efficiency of orthodontic treatment? An evidence-based review. J Dentofacial Anom Orthod 2013;16:402
  3. OSL, SLX, Henry Schein Orthodontics, Carlsbad, California
  4. Payne, M., HSO internal engineering measurements, 2015
  5. Cash AC, Good SA, Curtis RV, McDonald F, , An evaluation of slot size in orthodontic brackets--are standards as expected?, Angle Orthod. 2004 Aug;74(4):450-3
  6. Thomas W. Major, Jason P. Carey, David S. Nobes, and Paul W. Major, Orthodontic Bracket Manufacturing Tolerances and Dimensional Differences between Select Self-Ligating Brackets, Journal of Dental Biomechanics 2010(1):781321 · June 2010
  7. Uribe,F., et al., Parents’, patients’, and orthodontists’ perceptions of the need for costs of additional procedures to reduce treatment time., Am J Orthod Dentofacial Orthop., 2014
  8. Six Month Smiles, LLC, 6270 Morning Star Drive, Suite 120, The Colony, TX 75056
  9. Fastbraces, Orthoworld, LLC, 2711 North Haskell Avenue, Suite 650, Dallas, TX 75204
  10. Paul Zuelke, Good Case Acceptance or Short Treatment Times. What’s Your Choice? Dental Practice Management, June 5, 2015
  11. McGill, J; Four Trends To Boost Orthodontic Profitability, McGill Advisory, October 2016
  12. OrthoFi, Inc., Denver, CO 80203

Author

Dr. David Paquette received his DDS from the UNC School of Dentistry in 1979 and his MS in pediatric dentistry from the same school in 1983. (His master’s thesis on pediatric dentistry won an AAPD research award that year.) Paquette served as a pediatric dentistry consultant for the U.S. Air Force in Europe and Asia until 1987. He obtained his specialty certificate and MSD in orthodontics from St. Louis University in January 1990; his master’s thesis on orthodontics won the AAO’s Milo Hellman Research Award in 1991.

The lead clinical advisor for Henry Schein Orthodontics, Paquette has written multiple articles for scientific journals and several textbook chapters. He maintains a private practice limited exclusively to orthodontics in Mooresville, North Carolina, and he also lectures throughout the Americas, Europe, the Far East and Australia.

 
Author Dr. Scott Frey is a graduate of the University of the Pacific Arthur A. Dugoni School of Dentistry and earned his postdoctoral master’s degree and certificate in orthodontics from the University of Colorado. Frey is board certified in orthodontics, and is a Top 1% provider and faculty member for Invisalign, a published scientific author, and a reviewer for the Journal of Aesthetic Plastic Surgery, Angle Orthodontist and Journal of Cosmetic Dermatology. For his achievements in private practice, Frey has earned fellowships from the World Congress of Minimally Invasive Dentistry and the American Academy of Facial Esthetics, and is an international authority on aesthetic orthodontics, 3-D technology and cosmetic injectables.
 
Author Dr. James “Jep” Paschal received his bachelor’s degree from Emory University in 1989 and his DMD in 1993 from the Medical College of Georgia. He completed a residency in prosthodontics and a master’s degree in biomaterials and prosthodontics at the University of Texas Health Science Center at San Antonio, and a general practice residency in 1997.

Paschal practiced prosthodontics and implant dentistry before beginning a residency in orthodontics at the University of Rochester Eastman Dental Center. He has served on the board of the AAO Foundation and is a past chairman of the association’s Council on Communications. Paschal maintains a private orthodontic practice in Madison and Lake Oconee, Georgia, and volunteers with JP/HRO and Hope Smiles Dental Clinic in Port-au-Prince, Haiti.
 
Sponsors
Townie® Poll
Are you happy with your practice management software?
  
The Orthotown Team, Farran Media Support
Phone: +1-480-445-9710
Email: support@orthotown.com
©2026 Orthotown, a division of Farran Media • All Rights Reserved
9633 S. 48th Street Suite 200 • Phoenix, AZ 85044 • Phone:+1-480-598-0001 • Fax:+1-480-598-3450